
農藥陶斯松(Chlorpyrifos)為一種有機磷殺蟲劑,用來控制蟲害,居家處所中,也常用來防治蟑螂、跳蚤和白蟻。
農藥陶斯松(Chlorpyrifos)
我國目前使用在75種作物上如下表所示:
|
編號 |
作物名稱 |
害物分類 |
害物名稱 |
|
1 |
紅豆 |
蟲害 |
紅豆夜蛾類 |
|
2 |
蓮霧 |
蟲害 |
蓮霧腹鉤薊馬 |
|
3 |
楊桃 |
蟲害 |
楊桃薊馬類 |
|
4 |
番石榴 |
蟲害 |
番石榴薊馬類 |
|
5 |
獼猴桃 |
蟲害 |
獼猴桃毒蛾類 |
|
6 |
酪梨 |
蟲害 |
酪梨夜蛾類 |
|
7 |
百香果 |
蟲害 |
百香果夜蛾類 |
|
8 |
桑樹 |
蟲害 |
桑樹夜蛾類 |
|
9 |
積穀 |
蟲害 |
積穀小紅鰹節蟲 |
|
10 |
積穀 |
蟲害 |
積穀小擬穀盜 |
|
11 |
積穀 |
蟲害 |
積穀暹羅穀盜 |
|
12 |
可可 |
蟲害 |
可可粉介殼蟲類 |
|
13 |
紅豆 |
蟲害 |
紅豆螟蛾類 |
|
14 |
禾本科雜糧類 |
蟲害 |
禾本科雜糧類切根蟲 |
|
15 |
番石榴 |
蟲害 |
番石榴太平洋臀紋粉介殼蟲 |
|
16 |
香蕉 |
蟲害 |
香蕉粉介殼蟲類 |
|
17 |
百香果 |
蟲害 |
百香果毒蛾類 |
|
18 |
觀賞植物 |
蟲害 |
觀賞植物白輪盾介殼蟲 |
|
19 |
茶 |
蟲害 |
茶茶蠶 |
|
20 |
積穀 |
蟲害 |
積穀麥蛾 |
|
21 |
積穀 |
蟲害 |
積穀綠豆象 |
|
22 |
楊桃 |
蟲害 |
楊桃夜蛾類 |
|
23 |
香蕉 |
蟲害 |
香蕉球莖象鼻蟲 |
|
24 |
香蕉 |
蟲害 |
香蕉薊馬類 |
|
25 |
酪梨 |
蟲害 |
酪梨薊馬類 |
|
26 |
山茶科作物 |
蟲害 |
山茶科作物圓介殼蟲 |
|
27 |
臺灣欒樹 |
蟲害 |
臺灣欒樹椿象類 |
|
28 |
番荔枝 |
蟲害 |
番荔枝粉介殼蟲類 |
|
29 |
番石榴 |
蟲害 |
番石榴粉介殼蟲類 |
|
30 |
百合 |
蟲害 |
百合蚜蟲類 |
|
31 |
油茶 |
蟲害 |
油茶毒蛾類 |
|
32 |
咖啡 |
蟲害 |
咖啡夜蛾類 |
|
33 |
咖啡 |
蟲害 |
咖啡粉介殼蟲類 |
|
34 |
檄樹(諾麗果) |
蟲害 |
檄樹(諾麗果)粉介殼蟲類 |
|
35 |
積穀 |
蟲害 |
積穀外米綴蛾 |
|
36 |
積穀 |
蟲害 |
積穀角胸粉扁蟲 |
|
37 |
積穀 |
蟲害 |
積穀擬穀盜 |
|
38 |
蓮 |
蟲害 |
蓮蚜蟲類 |
|
39 |
落花生 |
蟲害 |
落花生夜蛾類 |
|
40 |
綠豆 |
蟲害 |
綠豆毒蛾類 |
|
41 |
鳳梨 |
蟲害 |
鳳梨粉介殼蟲類 |
|
42 |
楊桃 |
蟲害 |
楊桃毒蛾類 |
|
43 |
可可椰子 |
蟲害 |
可可椰子扁金花蟲 |
|
44 |
草莓 |
蟲害 |
草莓夜蛾類 |
|
45 |
榴槤蜜 |
蟲害 |
榴槤蜜粉介殼蟲類 |
|
46 |
百合 |
蟲害 |
百合花薊馬類 |
|
47 |
鐘麻 |
蟲害 |
鐘麻小造橋蟲 |
|
48 |
積穀 |
蟲害 |
積穀大穀盜 |
|
49 |
積穀 |
蟲害 |
積穀玉米象 |
|
50 |
綠豆 |
蟲害 |
綠豆夜蛾類 |
|
51 |
蓮霧 |
蟲害 |
蓮霧粉介殼蟲類 |
|
52 |
獼猴桃 |
蟲害 |
獼猴桃夜蛾類 |
|
53 |
香蕉 |
蟲害 |
香蕉假莖象鼻蟲 |
|
54 |
酪梨 |
蟲害 |
酪梨粉介殼蟲類 |
|
55 |
酪梨 |
蟲害 |
酪梨毒蛾類 |
|
56 |
玫瑰 |
蟲害 |
玫瑰蚜蟲 |
|
57 |
玫瑰 |
蟲害 |
玫瑰盾介殼蟲類 |
|
58 |
桑樹 |
蟲害 |
桑樹毒蛾類 |
|
59 |
油茶 |
蟲害 |
油茶夜蛾類 |
|
60 |
積穀 |
蟲害 |
積穀長角象鼻蟲 |
|
61 |
玉米 |
蟲害 |
玉米玉米螟 |
|
62 |
楊桃 |
蟲害 |
楊桃粉介殼蟲類 |
|
63 |
紅龍果 |
蟲害 |
紅龍果粉介殼蟲類 |
|
64 |
咖啡 |
蟲害 |
咖啡毒蛾類 |
|
65 |
木麻黃 |
蟲害 |
木麻黃星天牛 |
|
66 |
積穀 |
蟲害 |
積穀倉庫菸甲蟲 |
|
67 |
百慕達草草皮 |
蟲害 |
百慕達草草皮蠐螬害蟲 |
|
68 |
花木 |
蟲害 |
花木盾介殼蟲類 |
|
69 |
菊 |
蟲害 |
菊切根蟲 |
|
70 |
黃金果 |
蟲害 |
黃金果粉介殼蟲類 |
|
71 |
積穀 |
蟲害 |
積穀米象 |
|
72 |
積穀 |
蟲害 |
積穀美洲蜚蠊 |
|
73 |
積穀 |
蟲害 |
積穀穀蠹 |
|
74 |
蘭科作物 |
檢疫處理 |
蘭科作物檢疫處理 |
|
75 |
菊 |
蟲害 |
菊蚜蟲類 |
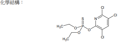
陶斯松的化學結構如下圖所示,外觀為無色結晶固體,易溶於丙酮、氯仿、乙醚等有機溶劑,難溶於水中。
陶斯松化學結構

農產品農藥檢驗分析,現以質譜儀為主要分析儀器。
利用分析層析之滯留時間與荷質比(m/z)進行定性與定量,並與對照標準品進行對照。
陶斯松層析圖

我國在檢測的分析方法上最常使用的TFDA公告的食品中殘留農藥檢驗方法-多重殘留分析方法(五)。
再者為建議方法質譜快速篩檢技術與農藥快速萃取方法,其中質譜快速篩檢技術能夠以較低的價格與較少的時間,進行快速篩檢,以提供業者參考,並評估風險是否要使用公告方法做進一步的檢驗。
我國農藥殘留容許量如下表所示,農作物在採收時,應將作物進行檢驗,以確保農藥殘留量符合容許量法規,若要送驗,可找尋具有TFDA或是TAF認證的實驗室進行送測,其結果會更有公信力。
|
項次 |
國際普通名稱 |
普通名稱 |
作物類別 |
容許量(ppm) |
備註 |
|
1 |
Chlorpyrifos |
陶斯松 |
大漿果類 |
0.5 |
殺蟲劑 |
|
2 |
Chlorpyrifos |
陶斯松 |
大麥 |
0.5 |
殺蟲劑 |
|
3 |
Chlorpyrifos |
陶斯松 |
小麥(含黑小麥) |
0.5 |
殺蟲劑 |
|
4 |
Chlorpyrifos |
陶斯松 |
其他小葉菜類(羅勒除外) |
1.0 |
殺蟲劑 |
|
5 |
Chlorpyrifos |
陶斯松 |
小漿果類 |
1.0 |
殺蟲劑 |
|
6 |
Chlorpyrifos |
陶斯松 |
山藥 |
0.01 |
殺蟲劑 |
|
7 |
Chlorpyrifos |
陶斯松 |
包葉菜類 |
0.5 |
殺蟲劑 |
|
8 |
Chlorpyrifos |
陶斯松 |
印度棗 |
0.5 |
殺蟲劑 |
|
9 |
Chlorpyrifos |
陶斯松 |
米類 |
0.1 |
殺蟲劑 |
|
10 |
Chlorpyrifos |
陶斯松 |
杏仁 |
0.05 |
殺蟲劑 |
|
11 |
Chlorpyrifos |
陶斯松 |
其他梨果類(印度棗除外) |
1.0 |
殺蟲劑 |
|
12 |
Chlorpyrifos |
陶斯松 |
果菜類 |
0.5 |
殺蟲劑 |
|
13 |
Chlorpyrifos |
陶斯松 |
枇杷 |
1.0 |
殺蟲劑 |
|
14 |
Chlorpyrifos |
陶斯松 |
花椰菜 |
0.5 |
殺蟲劑 |
|
15 |
Chlorpyrifos |
陶斯松 |
芥菜 |
1.0 |
殺蟲劑 |
|
16 |
Chlorpyrifos |
陶斯松 |
柑桔類 |
1.0 |
殺蟲劑 |
|
17 |
Chlorpyrifos |
陶斯松 |
洋甘菊 |
0.5 |
殺蟲劑 |
|
18 |
Chlorpyrifos |
陶斯松 |
洛神葵(乾) |
2.0 |
殺蟲劑 |
|
19 |
Chlorpyrifos |
陶斯松 |
紅豆 |
0.1 |
殺蟲劑 |
|
20 |
Chlorpyrifos |
陶斯松 |
胡桃 |
0.05 |
殺蟲劑 |
|
21 |
Chlorpyrifos |
陶斯松 |
荔枝 |
1.0 |
殺蟲劑 |
|
22 |
Chlorpyrifos |
陶斯松 |
茶類 |
2.0 |
殺蟲劑 |
|
23 |
Chlorpyrifos |
陶斯松 |
番荔枝 |
0.5 |
殺蟲劑 |
|
24 |
Chlorpyrifos |
陶斯松 |
菊花 |
0.8 |
殺蟲劑 |
|
25 |
Chlorpyrifos |
陶斯松 |
大豆(黃豆、黑豆) |
0.1 |
殺蟲劑 |
|
26 |
Chlorpyrifos |
陶斯松 |
落花生 |
0.1 |
殺蟲劑 |
|
27 |
Chlorpyrifos |
陶斯松 |
龍眼 |
1.0 |
殺蟲劑 |
|
28 |
Chlorpyrifos |
陶斯松 |
薄荷 |
0.8 |
殺蟲劑 |
|
29 |
Chlorpyrifos |
陶斯松 |
雜糧類 |
0.5 |
殺蟲劑 |
|
30 |
Chlorpyrifos |
陶斯松 |
羅勒 |
0.5 |
殺蟲劑 |
|
31 |
Chlorpyrifos |
陶斯松 |
綠豆 |
0.1 |
殺蟲劑 |
|
32 |
Chlorpyrifos |
陶斯松 |
巴西利 |
0.5 |
殺蟲劑 |
|
33 |
Chlorpyrifos |
陶斯松 |
百合花 |
0.5 |
殺蟲劑 |
|
34 |
Chlorpyrifos |
陶斯松 |
玫瑰(鮮) |
0.5 |
殺蟲劑 |
|
35 |
Chlorpyrifos |
陶斯松 |
玫瑰(乾) |
2.0 |
殺蟲劑 |
|
36 |
Chlorpyrifos |
陶斯松 |
金盞花 |
0.05 |
殺蟲劑 |
|
37 |
Chlorpyrifos |
陶斯松 |
胡椒 |
1.0 |
殺蟲劑 |
|
38 |
Chlorpyrifos |
陶斯松 |
茉莉花 |
0.5 |
殺蟲劑 |
|
39 |
Chlorpyrifos |
陶斯松 |
香蜂草 |
0.5 |
殺蟲劑 |
|
40 |
Chlorpyrifos |
陶斯松 |
桂花 |
0.5 |
殺蟲劑 |
|
41 |
Chlorpyrifos |
陶斯松 |
馬鞭草 |
0.5 |
殺蟲劑 |
|
42 |
Chlorpyrifos |
陶斯松 |
紫蘇(乾) |
0.8 |
殺蟲劑 |
|
43 |
Chlorpyrifos |
陶斯松 |
奧勒岡草 |
0.5 |
殺蟲劑 |
|
44 |
Chlorpyrifos |
陶斯松 |
鼠尾草 |
0.05 |
殺蟲劑 |
|
45 |
Chlorpyrifos |
陶斯松 |
蓮子(乾) |
0.1 |
殺蟲劑 |
|
46 |
Chlorpyrifos |
陶斯松 |
蓮花 |
0.5 |
殺蟲劑 |
|
47 |
Chlorpyrifos |
陶斯松 |
刀豆 |
0.1 |
殺蟲劑 |
|
48 |
Chlorpyrifos |
陶斯松 |
豆薯 |
0.01 |
殺蟲劑 |
|
49 |
Chlorpyrifos |
陶斯松 |
狗尾草根 |
0.01 |
殺蟲劑 |
|
50 |
Chlorpyrifos |
陶斯松 |
花豆(鮮) |
0.1 |
殺蟲劑 |
|
51 |
Chlorpyrifos |
陶斯松 |
花豆(乾) |
0.1 |
殺蟲劑 |
|
52 |
Chlorpyrifos |
陶斯松 |
扁豆 |
0.1 |
殺蟲劑 |
|
53 |
Chlorpyrifos |
陶斯松 |
其他(穀類)* |
0.02* |
殺蟲劑 |
|
54 |
Chlorpyrifos |
陶斯松 |
豇豆(鮮) |
0.1 |
殺蟲劑 |
|
55 |
Chlorpyrifos |
陶斯松 |
豇豆(乾) |
0.1 |
殺蟲劑 |
|
56 |
Chlorpyrifos |
陶斯松 |
菜豆 |
0.1 |
殺蟲劑 |
|
57 |
Chlorpyrifos |
陶斯松 |
萊豆 |
0.1 |
殺蟲劑 |
|
58 |
Chlorpyrifos |
陶斯松 |
豌豆 |
0.1 |
殺蟲劑 |
|
59 |
Chlorpyrifos |
陶斯松 |
樹豆(鮮) |
0.1 |
殺蟲劑 |
|
60 |
Chlorpyrifos |
陶斯松 |
樹豆(乾) |
0.1 |
殺蟲劑 |
|
61 |
Chlorpyrifos |
陶斯松 |
翼豆 |
0.1 |
殺蟲劑 |
|
62 |
Chlorpyrifos |
陶斯松 |
闊葉大豆根 |
0.01 |
殺蟲劑 |
|
63 |
Chlorpyrifos |
陶斯松 |
蠶豆(鮮) |
0.1 |
殺蟲劑 |
|
64 |
Chlorpyrifos |
陶斯松 |
蠶豆(乾) |
0.1 |
殺蟲劑 |
|
65 |
Chlorpyrifos |
陶斯松 |
鷹嘴豆 |
0.1 |
殺蟲劑 |
|
66 |
Chlorpyrifos |
陶斯松 |
其他(蔬果類)* |
0.01* |
殺蟲劑 |
|
67 |
Chlorpyrifos |
陶斯松 |
其他(茶類)* |
0.05* |
殺蟲劑 |
|
68 |
Chlorpyrifos |
陶斯松 |
咖啡豆 |
0.2 |
殺蟲劑 |
|
69 |
Chlorpyrifos |
陶斯松 |
洋蔥 |
0.2 |
殺蟲劑 |
|
70 |
Chlorpyrifos |
陶斯松 |
美洲胡桃 |
0.05 |
殺蟲劑 |
|
71 |
Chlorpyrifos |
陶斯松 |
胡蘿蔔 |
0.1 |
殺蟲劑 |
|
72 |
Chlorpyrifos |
陶斯松 |
香辛植物(果實) |
1.0 |
殺蟲劑 |
|
73 |
Chlorpyrifos |
陶斯松 |
香辛植物(根莖) |
1.0 |
殺蟲劑 |
|
74 |
Chlorpyrifos |
陶斯松 |
香辛植物(種子) |
5.0 |
殺蟲劑 |
|
75 |
Chlorpyrifos |
陶斯松 |
葡萄(乾) |
0.1 |
殺蟲劑 |
|
76 |
Chlorpyrifos |
陶斯松 |
蘆筍 |
0.05 |
殺蟲劑 |
|
77 |
Chlorpyrifos |
陶斯松 |
可可豆 |
0.05 |
殺蟲劑 |
|
78 |
Chlorpyrifos |
陶斯松 |
甘藷 |
0.05 |
殺蟲劑 |
|
79 |
Chlorpyrifos |
陶斯松 |
茶籽 |
0.1 |
殺蟲劑 |
|
80 |
Chlorpyrifos |
陶斯松 |
楊梅 |
1.0 |
殺蟲劑 |
參考資料來源:
農業藥物毒物試驗所
衛福部食品藥物管理署-農藥殘留容許量標準






